-
왕초보 LaTeX: 수식편 2. 수식 여러줄 넣고 정렬하기왕초보 LaTeX 튜토리얼 2021. 6. 6. 12:23반응형
문서 편집기 LaTeX을 사용하면 수식 치는 법에 대한 포스팅입니다. 편의상 텍이라고 부르겠습니다.
물론 두 줄 이상의 수식을 입력하실 때 지난 포스팅에서 알려드린 equation을 여러번 사용하셔도 되는데요, 수식이 여러줄이면 그것도 상당히 번거롭고 정렬을 맞추기 힘들기 때문에, align, eqnarray 등을 사용합시다.
(* 둘의 기능은 거의 비슷합니다. 그냥 아무거나 하나 골라서 계속 쓰시면 편합니다.)
때에 따라서는 array나 matrix로 수식을 쓰기도 하는데 그건 나중에 소개하겠습니다. 요새는 align을 많이 쓰는 추세라고 하네요. (저도 align을 좋아합니다..)
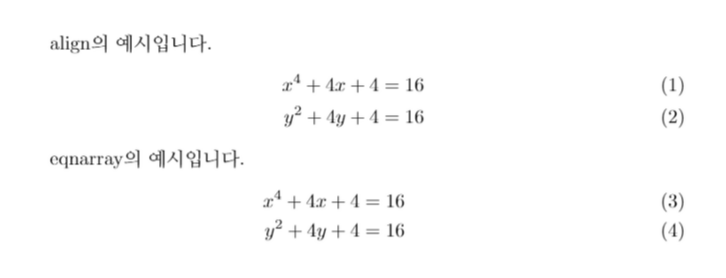
역시나 사용법은 같습니다. \begin{align}과 \end{align}사이, 혹은 \begin{eqnarray}과 \end{eqnarray}사이에 수식을 넣어 주시면 됩니다. 아래가 예시고요.\documentclass{article} \usepackage{kotex} \usepackage{amsmath} \begin{document} align의 예시입니다. \begin{align} x^4+4x+4=16\\ y^2+4y+4=16 \end{align} eqnarray의 예시입니다. \begin{eqnarray} x^4+4x+4=16\\ y^2+4y+4=16 \end{eqnarray} \end{document}아래가 결과물입니다. align이나 eqnarray에서 수식 줄 바꿈을 하시려면 일반 텍스트에서와 마찬가지로, \\를 사용하시면 됩니다. 위의 예시에서도 볼 수 있죠.

align과 eqnarray의 장점 중에 하나는 수식을 예쁘게 정렬할 수 있다는 건데요, 수식 중간 중간에 &를 이용해서 정렬이 가능합니다. 한번 보시면요,\documentclass{article} \usepackage{kotex} \usepackage{amsmath} \begin{document} align의 예시입니다. \begin{align} x^2 & =4^2\\ & =16\\ & =2^4 \end{align} eqnarray의 예시입니다. \begin{eqnarray} x^2 & =4^2\\ & =16\\ & =2^4 \end{eqnarray} \end{document}출력은 다음과 같이 됩니다. 등호들이 다 같은 위치에 정렬된 것을 보실 수 있습니다.

전 개인적으로 align이 공백이 예뻐서 더 좋아합니다.
!!! align이나 eqnarray를 사용하실 때도 넘버링이 필요 없다면 align과 eqnarray 끝에 별 붙여주시면 넘버링 없어집니다. 이렇게요. \begin{align*} \end{align*} 그리고 \begin{eqnarray*} \end{eqnarray*}
그렇다면, 이렇게 잘 넣어둔 수식을 인용할 때는 어떻게 하나요? 다음 포스팅에서는 수식 번호 인용하는 방법을 알려드리겠습니다.포스팅이 도움이 되셨거나 다른 궁금한 점이 있으시면 댓글로 달아주세요.
반응형'왕초보 LaTeX 튜토리얼' 카테고리의 다른 글
왕초보 LaTeX: 페이지편 1. 페이지 번호 숨기기, 리셋하기 (2) 2021.06.14 왕초보 LaTeX: 수식편 5. 수식 디스플레이, 수식 속 일반 텍스트 (0) 2021.06.09 왕초보 LaTeX: 수식편 4. 수식 넘버링(수식 번호) 편집 (부분 생략, 여러 줄에 하나만) (0) 2021.06.08 왕초보 LaTeX: 수식편 3. 넘버링된 수식 인용하기 (2) 2021.06.07 왕초보 LaTeX - LaTeX 시작하기 (0) 2021.06.05 왕초보 LaTeX: 수식편 1. 한 줄 짜리 수식 넣는 법 (0) 2021.06.04