-
왕초보 LaTeX: 수식편 5. 수식 디스플레이, 수식 속 일반 텍스트왕초보 LaTeX 튜토리얼 2021. 6. 9. 08:21반응형
첫번째로는 수식 디스플레이 모드 전환법을, 두 번째로는 수식 속에 일반 텍스트를 쓰는 법 알려드릴게요. 아래 예시들이 제대로 나오게 하려면 amsmath 패키지를 추가하셔야 합니다 (예시 코드 안에 추가가 되어있습니다만 한번 더 알려드립니다).
1. 수식 디스플레이 모드
수식 표현에 사실 두 가지 모드가 있다는거 혹시 눈치 채셨나요? 문장 속에 들어가는 수식이나 지수에 들어가는 수식은 일반모드고, $$, \[ \], equation, align, eqnarray 등으로 표현하는 수식은 "디스플레이 스타일"입니다. 먼저 차이를 보여드릴게요. 아래의 코드를 컴파일 하면,
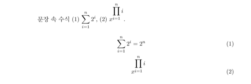
\documentclass{article} \usepackage{kotex} \usepackage{amsmath} \begin{document} 문장 속 수식 (1) $\sum_{i=1}^n 2^i$, (2) $x^{\prod_{i=1}^n i}$. \begin{align} \sum_{i=1}^n 2^i = 2^n\\ x^{\prod_{i=1}^n i} \end{align} \end{document}이렇게 나옵니다.

보시다시피 문장 속 수식 (1)과 align으로 아래 넣은 (1)은 다른 모습이죠. i=1, n이 들어가는 위치가 다릅니다. 문장 속 수식 (1)이 "일반 스타일", align으로 넣은 (1)이 "디스플레이 스타일"입니다. 그러나 문장 속 수식 (2)와 align으로 넣은 (2)는 똑같죠. 지수는 align으로도 일반 스타일로 들어갑니다.
보통은 이렇게 두는 것을 추천합니다만, 가끔 일반 스타일로 들어간 수식을 디스플레이 스타일로 바꾸고 싶을 때가 있어요. 그럴 때는 디스플레이 스타일로 바꾸고 싶은 수식 앞에 \displaystyle이라는 명령어를 넣으면 됩니다. 일단 보여드리기 위해 전 일반 스타일로 들어간 모든 수식을 디스플레이 스타일로 바꾸는 것을 코드와 같이 보여드릴게요.
\documentclass{article} \usepackage{kotex} \usepackage{amsmath} \begin{document} 문장 속 수식 (1) $\displaystyle \sum_{i=1}^n 2^i$, (2) $x^{\displaystyle \prod_{i=1}^n i}$. \begin{align} \sum_{i=1}^n 2^i = 2^n\\ x^{\displaystyle \prod_{i=1}^n i} \end{align} \end{document}결과물은 이렇습니다.

솔직히 보기가 별로죠? 문장 속 수식 (1)같은 경우에는 행간 간격이 넉넉하면 쓸만 합니다만 아니면 웬만하면 안쓰시는 것을 추천합니다. html에서 LaTeX를 사용할 때는 유용하게 사용하실수도 있겠네요.
2. 수식 속에 일반 텍스트를 쓰는 법
가끔 수식 속에 일반 텍스트를 써야할 일이 있어요. 예를 들어 양의 정수 중 짝수만 모은 집합을 정의하려고 하면

이렇게 수식 중에 and가 필요하지요. 이렇게 수식 속에 일반 텍스트를 넣으려면 textnormal이나 text를 사용하면 됩니다. 대체로 둘다 비슷하게 사용할 수 있지만 차이가 있긴 합니다. textnormal은 언제나 기본 폰트(이탤릭체/볼드체 없음)를 출력하고요, text는 수식 바깥의 텍스트의 세팅을 사용 합니다. 일단 한번 보시죠. 설명을 위해서 amsthm패키지의 definition을 넣어봤습니다. amsfonts는 정수 집합 (\mathbb{Z}) 표현을 위해 넣은겁니다.
\documentclass{article} \usepackage{kotex} \usepackage{amsmath, amsfonts, amsthm} \newtheorem{definition}{Definition} \begin{document} (1) 문장 중에 있는 수식 $S=\{a\in \mathbb{Z} \vert a\ge 0 \text{ and (text) } \textnormal{ and (textnormal) } 2\vert a\}$ (2) align으로 정의된 수식 \textit{\begin{align*} S=\{a\in \mathbb{Z} \vert a\ge 0 \text{ and (text) } \textnormal{ and (textnormal) } 2\vert a\} \end{align*} } (3) definition 안에 들어간 수식 \begin{definition} X=A+B로 정의하며, A와 B는 다음과 같다. \begin{equation*} A=3 \text{ and (text) } B=2 \end{equation*} \begin{equation*} A=3 \textnormal{ and (textnormal) } B=2 \end{equation*} \end{definition} \end{document}출력물은 이렇게 됩니다.

- (1)에서는 text와 textnormal의 차이가 없죠. 왜냐면 수식 바깥의 폰트가 기본 폰트이기 때문이에요. 여기서는 아무거나 쓰셔도 똑같습니다.
- (2)에서는 지금 수식이 align으로 정의되어있죠. align의 기본은 이탤릭체에요. 그래서 text는 이탤릭체로, textnormal은 기본 폰트로 나오지요. 여기서는 textnormal을 쓰는게 알맞죠.
- (3)은 definition인데요, definition의 기본은 역시 이탤릭체입니다. 그리고 저기에 쓰인 and는 엄밀히 말하면 수식 안에 들어간 것은 아니고 그냥 이어주는 말이기 때문에 text를 쓰는게 알맞습니다.
이렇게 수식 안에 일반텍스트 넣는 법도 알아봤는데요, 각각 상황에 맞춰서 잘 사용하시면 좋겠습니다. 저는 간단하게 쓰려고 소개 안했지만 textrm도 사용하실 수 있습니다. roman text라는 뜻이고요, 미묘한 차이는 있습니다만 대체로 전 굳이 textrm을 사용할 일은 별로 없었네요. (폰트를 많이 바꾸시는게 아니라면 text랑 비슷하게 많이 쓰고요.)
반응형'왕초보 LaTeX 튜토리얼' 카테고리의 다른 글
왕초보 LaTeX 페이지편 2. 페이지 번호 스타일과 위치 바꾸기 (4) 2021.07.13 왕초보 LaTeX: 번외 학위논문 LaTeX 템플릿, 긴 문서 끊어쓰기 (2) 2021.06.17 왕초보 LaTeX: 페이지편 1. 페이지 번호 숨기기, 리셋하기 (2) 2021.06.14 왕초보 LaTeX: 수식편 4. 수식 넘버링(수식 번호) 편집 (부분 생략, 여러 줄에 하나만) (0) 2021.06.08 왕초보 LaTeX: 수식편 3. 넘버링된 수식 인용하기 (2) 2021.06.07 왕초보 LaTeX: 수식편 2. 수식 여러줄 넣고 정렬하기 (0) 2021.06.06